Dos caras de la misma moneda: Análisis de composición en mezclas de polímeros y copolímeros
El análisis composicional de Malvern Panalytical, acoplado con Cromatografía de Permeación en Gel (GPC), puede ser clave para llevar la caracterización de copolímeros a un nivel superior. En esta nota de aplicación, se explica cómo descomponemos analíticamente los copolímeros en sus partes constitutivas y qué información adicional obtenemos al hacerlo.
Los ejemplos específicos analizados incluyen mezclas de poliestireno y polimetilmetacrilato, poliestireno y cloruro de polivinilo, y poliestireno y polibutadieno, así como los copolímeros poli(estireno-co-isopreno), poli(estireno-co-butadieno) y poli(estireno-co-acrilonitrilo). Sin embargo, esta técnica puede aplicarse a muchos otros copolímeros. Si deseas saber si tu polímero es aplicable, contáctanos aquí. (Link CAS Instrumental)
Importancia de los Copolímeros
La diversidad de copolímeros en el mercado de polímeros ofrecen propiedades que no pueden alcanzarse con homopolímeros. Estas propiedades no solo dependen de la mezcla de monómeros elegidos para fabricar el copolímero, sino también de cómo se distribuyen en la cadena polimérica.
La manera en que los monómeros se añaden a un polímero crea diferentes tipos de copolímeros, como:
-
Aleatorios
-
Gradiente
-
Injerto
-
Cepillo
-
Bloque
En esta nota de aplicación, se destacan los copolímeros en bloque, ya que poseen propiedades únicas en comparación con los copolímeros aleatorios equivalentes.
Ventaja del GPC en la Caracterización
La caracterización de copolímeros en términos de sus partes constitutivas generalmente se realiza como una medición a granel, donde se puede determinar la proporción de comonómeros incorporados en la cadena polimérica.
El GPC ofrece una diferencia crucial: separa la muestra antes de que llegue a los detectores. Al obtener datos composicionales para cada fracción, los resultados son mucho más ricos en información.
Retos en la Caracterización con GPC
Existen desafíos al caracterizar un copolímero mediante GPC acoplado a detectores como el índice refractivo diferencial (RI) y la dispersión estática de luz (SLS). Estos desafíos incluyen:
-
Determinar la concentración de un monómero frente a otro.
-
Mejorar el dn/dc aplicado en el cálculo del peso molecular.
(Nota: Hemos discutido previamente qué es el valor dn/dc y su significado. Si no estás familiarizado con este concepto, puedes leerlo en esta publicación de blog).
Nuestra solución a este reto ha sido utilizar un segundo detector de concentración, un espectrómetro UV/vis, en serie con los detectores RI y SLS.
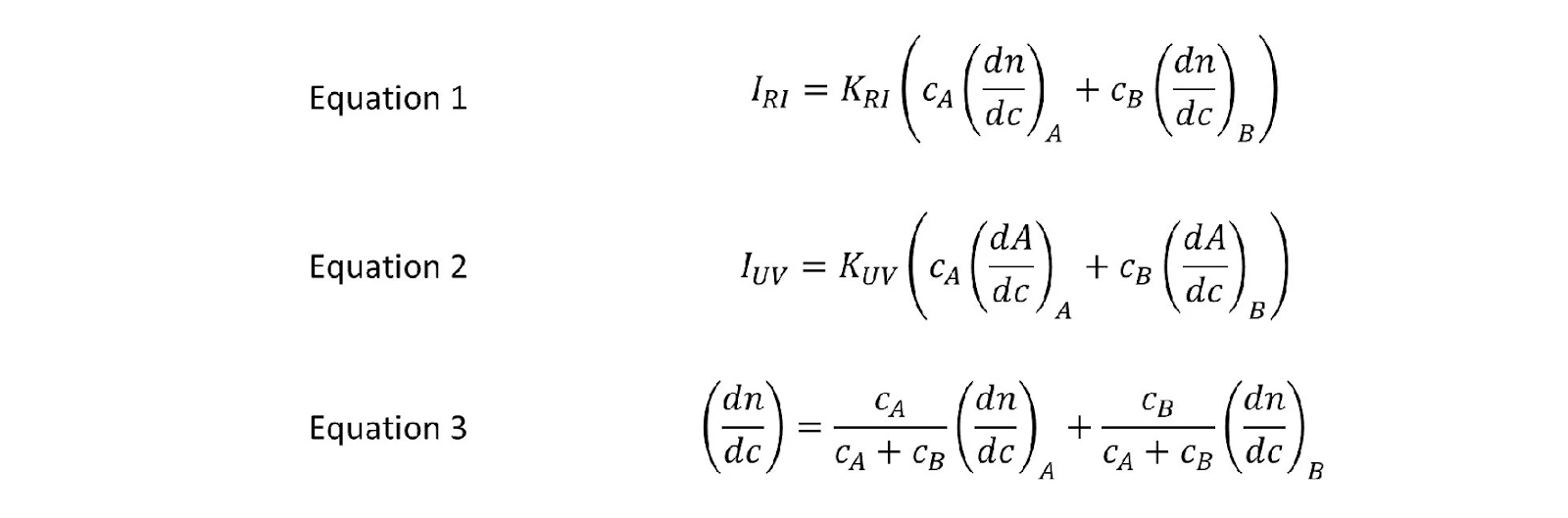
Parámetros Determinados para el Cálculo Final
-
Se miden las intensidades de señal de los detectores RI y UV (IRII_{RI} y IUVI_{UV}).
-
Las constantes de los detectores (KRIK_{RI} y KUVK_{UV}) se establecen durante la calibración.
-
Usando estos parámetros, las ecuaciones simultáneas generan las concentraciones de los componentes A y B (cAc_A y cBc_B).
-
Finalmente, el dn/dc del copolímero puede calcularse mediante la Ecuación 3.
Este enfoque avanzado proporciona una comprensión más profunda y detallada de la composición y estructura de los copolímeros.
Si estás interesado en aplicar esta metodología, contáctanos para obtener más información o asistencia.
![]() |
| Mezclas de polímeros Para ilustrar los posibles resultados obtenidos al analizar una formulación, mezcla o combinación, aplicamos este análisis a una serie de mezclas de polímeros. Las muestras se prepararon mezclando soluciones de poliestireno con polimetilmetacrilato (PMMA), polibutadieno (PBd) y cloruro de polivinilo (PVC) de diferentes pesos moleculares y proporciones entre ambos componentes. En la Tabla 1, a continuación, se comparan las proporciones del componente A y el componente B preparadas con las calculadas mediante un método de análisis composicional. Es evidente que los resultados calculados se ajustan estrechamente a los valores preparados, con un error de cálculo que varía desde cero hasta un 4 %. Tabla 1. Seis mezclas de soluciones de polímeros preparadas y analizadas mediante análisis composicional. Se muestran el tipo de polímero, el peso molecular (PM) y la proporción de los dos tipos de polímero (A, B) utilizados para preparar las mezclas, y finalmente la proporción calculada entre ambos tipos de polímero. |
Mezclas de polímeros
Para ilustrar los posibles resultados obtenidos al analizar una formulación, mezcla o combinación, aplicamos este análisis a una serie de mezclas de polímeros. Las muestras se prepararon mezclando soluciones de poliestireno con polimetilmetacrilato (PMMA), polibutadieno (PBd) y cloruro de polivinilo (PVC) de diferentes pesos moleculares y proporciones entre los dos componentes.
En la Tabla 1, se comparan las proporciones de los componentes A y B preparadas experimentalmente con las calculadas mediante un método de análisis composicional. Los resultados calculados muestran una correlación cercana a los valores preparados, con un margen de error en el cálculo que varía entre 0 % y hasta un máximo de 4 %.
Tabla 1: Análisis de seis mezclas de soluciones poliméricas
La tabla incluye:
-
El tipo de polímero.
-
El peso molecular (Mw).
-
La proporción de los dos tipos de polímero (A,B) utilizada para preparar las mezclas.
-
La proporción calculada mediante el análisis composicional.
Esto destaca la precisión del método al identificar y cuantificar las proporciones de los componentes en mezclas poliméricas complejas.
Polymer A Polymer B Mw A (kg/mol) Mw B (kg/mol) A:B prepared A:B calculated
Variación en proporciones, tipos de polímeros y pesos moleculares
La variación de proporciones, tipos de polímeros y pesos moleculares demuestra que este método puede utilizarse de manera flexible siempre que se disponga de los valores de dn/dc y dA/dc para los dos componentes. Aunque en los ejemplos presentados se utiliza poliestireno (PS) en todas las mezclas, no es indispensable que esté presente en tu muestra. Este método es aplicable siempre que al menos uno de los componentes sea un cromóforo.
Copolímeros
Se adquirieron polímeros compuestos de PS, PBd, poliisopreno (PI) y poliacrilonitrilo (PAN) de Sigma Aldrich. Entre las muestras:
-
Dos se definieron como copolímeros tribloque: PS-PI-PS y PS-PBd-PS.
-
En las otras dos muestras, no se especificó el tipo de copolímero: PS-PI y PS-PAN.
En la Figura 1 se presentan superposiciones de los cromatogramas adquiridos:
-
A la izquierda: superposición de los cromatogramas medidos por el detector RI.
-
A la derecha: superposición de los cromatogramas medidos por el detector UV/vis a 254 nm.
Cada muestra está representada por un color diferente:
-
PS-PI-PS: Rojo
-
PS-PI: Morado
-
PS-PBd-PS: Verde
-
PS-PAN: Negro
Observaciones de los cromatogramas
-
Comparación PS-PI-PS vs. PS-PI:
-
Los cromatogramas obtenidos por el RI tienen formas similares y picos de intensidad comparable.
-
Sin embargo, las intensidades relativas en el detector UV muestran diferencias significativas, lo que indica una menor cantidad de poliestireno en la muestra PS-PI.
-
Impurezas de bajo peso molecular:
-
En el detector RI, tres de las muestras presentan un pico separado a mayor volumen de retención, sugiriendo la presencia de una impureza de bajo peso molecular.
-
PS-PBd-PS:
-
Esta muestra presenta un pico inicial a los 14 mL seguido por el pico principal, lo que podría indicar la presencia de otro bloque en comparación con el pico principal.
-
PS-PAN:
-
El cromatograma muestra una amplia distribución de pesos moleculares, ya que la elución ocurre en un rango de volumen extenso (aproximadamente de 12.5 a 18 mL).
![]() |
|
| Figura 1. Superposición de cromatogramas de IR (izquierda) y cromatogramas UV/VIS (a 254 nm) (derecha) de PS-PI-PS (rojo), PS-PI (violeta), PS-PBd-PS (verde) y PS-PAN (negro). Se muestra una vista ampliada del pico 2 en el IR. |
Resultados de análisis cuantitativo de las muestras de copolímeros
Las muestras se midieron por duplicado y se promediaron los resultados, como se muestra en la Tabla 2. A continuación, se resumen las métricas calculadas:
-
Peso molecular promedio ponderado (Mw).
-
Peso molecular promedio numérico (Mn).
-
Dispersidad (Mw/Mn).
Para mejorar la precisión, se utilizó un valor de dn/dc calculado punto por punto a lo largo del cromatograma de cada muestra. Además, se presenta la fracción en peso (Wt Fr.) de cada componente A y B en los picos principales y secundarios de las muestras.
Observaciones clave sobre los resultados
-
Pico secundario (17-18 mL):
-
Se observó un segundo pico en las muestras PS-PI-PS, PS-PI y PS-PBd-PS.
-
Este pico secundario (pico 2) fue caracterizado por separado y mostró una predominancia de poliestireno (PS), incluso en casos donde el pico principal estaba compuesto mayoritariamente por el componente B.
-
-
Relevancia del pico secundario:
-
La presencia de especies de bajo peso molecular podría impactar las propiedades térmicas y físicas del copolímero, así como su capacidad de autoensamblaje.
-
Esto sugiere una posible necesidad de optimizar el proceso de síntesis para minimizar estas impurezas.
-
-
Comparación entre PS-PI-PS y PS-PI:
-
-
Aunque los perfiles de elución de ambas muestras son similares (Figura 1), el análisis composicional revela diferencias claras en la cantidad de PI presente en el pico principal:
-
PS-PI-PS: 77.6% PI.
-
PS-PI: 84.7% PI.
-
-
-
- Resultados de PS-PAN:
-
Aunque no se menciona un pico secundario para esta muestra, su amplia distribución molecular observada anteriormente puede reflejarse en los valores de dispersos y peso molecular calculados.
-
Resultados Gráficos del Análisis Composicional de Copolímeros
Los resultados del análisis composicional también se pueden presentar de manera gráfica, lo que facilita la interpretación visual de cómo las fracciones en peso (Wt fr. A, Wt fr. B) o concentraciones (A, B) varían en función del tiempo o del peso molecular. Además, se puede graficar la fracción en peso de los componentes A o B en función del peso molecular, lo que aporta una visión más detallada sobre la distribución molecular de la mezcla. Estos gráficos pueden proporcionar información sobre:
-
Si la composición es homogénea.
-
Si la fracción en peso cambia de manera constante.
-
Si la composición química de las diferentes partes de la distribución molecular es significativamente diferente.
A continuación, se presentan dos ejemplos representativos:
Ejemplos Gráficos de las Muestras
-
PS-PBd-PS (Figura 2, izquierda):
-
Eje x: Volumen de retención.
-
Eje y (izquierda): Fracción en peso de A (PS).
-
Eje y (derecha): Índice de refracción (RI).
En este caso, el gráfico de fracción en peso de A (PS) indica que el pico inicial que se eluye a 14 mL contiene una fracción similar de PS a la del pico principal. Esto sugiere que este pico puede ser una población de peso molecular discreto del copolímero tribloque, o incluso un subproducto de una reacción de acoplamiento. Sin embargo, el gráfico muestra que este pico no es un homopolímero ni tiene una relación diferente de componentes que el pico principal.
-
-
PS-PAN (Figura 2, derecha):
-
-
Eje x: Volumen de retención.
-
Eje y (izquierda): Fracción en peso de A (PS).
-
Eje y (derecha): Índice de refracción (RI).
-
Para PS-PAN, observamos que la fracción en peso de PS varía de 0.66 a 0.69 entre los volúmenes de retención de 13 a 16 mL. Posteriormente, para las cadenas de menor peso molecular, la fracción en peso de PS aumenta hasta 1, lo que indica que las cadenas de bajo peso molecular están compuestas en su mayoría por PS, en contraste con el cuerpo principal del pico.
-
Conclusiones Importantes:
-
PS-PBd-PS: El pico inicial no es un homopolímero y tiene una proporción similar de PS al resto del pico principal.
-
PS-PAN: Las cadenas de menor peso molecular tienen una mayor concentración de PS, lo que sugiere una distribución compleja en términos de la composición de los copolímeros.
Este tipo de análisis gráfico permite obtener información clave sobre la distribución molecular, la homogeneidad y la composición de los copolímeros que no sería evidente solo con el cromatograma tradicional.
![]() |
|
| Figura 2. Superposición del cromatograma RI y Wt fr. A para las muestras PS-PBd-PS (izquierda) y PS-PAN (derecha). |
Conclusión
En esta nota de aplicación hemos presentado el análisis de mezclas de polímeros y copolímeros mediante cromatografía de detección múltiple en el sistema OMNISEC. Se demostró que el análisis composicional es aplicable a una variedad de polímeros, incluidos poliestireno, polimetilmetacrilato, polibutadieno, policloruro de vinilo, poliisopreno y poliacrilonitrilo. Las muestras analizadas representaron una mezcla de tipos de muestras, incluidas mezclas, copolímeros aleatorios y copolímeros en bloque.
Inicialmente, mostramos cómo, mediante el análisis composicional, se puede calcular con precisión la composición de la mezcla de polímeros en sus homopolímeros componentes. A continuación, demostramos cómo los pesos moleculares de los copolímeros se calcularon con mayor precisión gracias al cálculo de dn/dc en cada segmento de datos.
Presentamos una gama de resultados adicionales proporcionados por el análisis composicional e ilustramos la aplicación de la fracción en peso (Wt fr.) en profundidad, incluyendo la interpretación de dos gráficos de Wt fr. A en función del volumen de retención.
Si deseas discutir más sobre este enfoque o tienes preguntas adicionales, no dudes en ponerte en contacto con nosotros.


